Выбирая электродвигатель, важно четко знать его технические параметры, поскольку правильный подбор является залогом беспроблемной длительной эксплуатации мотора. В частности, необходимо знать нагрузочную диаграмму, иными словами – зависимость w(t) и Мс(t), а также момента инерции.
Важно также понимать, в каких условиях и каком режиме будет работать мотор. Так, если планируется постоянная нагрузка без изменений скорости, то нужная мощность может быть рассчитана следующим образом.
,
,
,
Также важно сравнить пусковой момент мотора и самого механизма, поскольку у некоторых приборов при запуске отмечается более высокое сопротивление. Кроме того, важно обратить внимание на следующий фактор: в случае замены трехфазного мотора на однофазный у последнего пусковой момент примерно в 3 раза ниже, поэтому могут возникнуть проблемы с запуском основной системы.
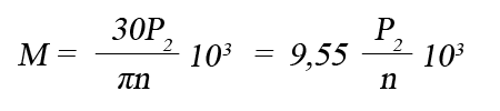
Соотношение момента к мощности отражено в формуле:
Развиваемый электродвигателем момент M [Нм] и полезная мощность на валу Р2 [кВт] связаны следующим соотношением

Полная мощность, потребляемая из сети:
1. для двигателей постоянного тока (она же активная)

2. для двигателей переменного тока

при этом потребляемые активная и реактивная мощности соответственно

Также важно учесть следующее: нет смысла приобретать и устанавливать двигатель со слишком большим запасом мощности. Иначе снизится КПД мотора, а если двигатель работает на переменном токе, то уменьшится и коэффициент мощности.
Другие характеристики
Выбор уровня напряжения мотора требует тщательного расчета энергетических мощностей всей системы. Если мощности значительны, то нет смысла останавливать выбор на моторе с низким напряжением, поскольку это приведет к существенному росту расходов как на сам мотор, так и на провода и коммутации.
Рабочий режим
Разные режимы работы приводят порой к довольно существенным изменениям в нагрузке на двигатель. Государственный стандарт описывает 6 рабочих режимов.
- S1 – длительный. При таком режиме мотор работает с постоянной нагрузкой до тех пор, пока его температура не поднимется до неизменной величины. Мощность при таком режиме определяется в зависимости от того, какую мощность потребляет вся система.
- S2 – кратковременный. В этом режиме двигатель не успевает нагреться до неизменной температуры, а при остановке мотор охлаждается, и его температура сравнивается с температурой окружающей среды. Для работы в данном режиме выпускаются специальные моторы, имеющие различный период работы – от 15 до 90 минут. Для каждого временного отрезка предусмотрена конкретная мощность.
- S3 – так называемый повторно-кратковременный рабочий режим. Он означает, что двигатель отключается на незначительное время и не успевает ни нагреться до стабильной температуры, ни полностью остыть. Мощность мотора, работающего в таком режиме, вычисляется по методике эквивалентных величин, при этом в расчет берутся потери и паузы.
- Режимы S4 и S5 – аналогичные предыдущему.
- S6 – перемежающийся рабочий режим. Мотор в таком режиме выполняет одинаковые последовательные циклы, сменяющие друг друга: холостой ход и постоянная нагрузка. Продолжительность типового цикла – 10 минут.
Потребление ресурсов
Рациональное потребление ресурсов – так называемая энергоэффективность – отражает, насколько мотор может снизить потребление электроэнергии при сохранении того же уровня мощности. Энергоэффективность мотора отражена в значении КПД.
,
где Р2 – полезная мощность на валу, Р1 – потребляемая активная мощность из сети.
Стандартом IEC 60034-30 для асинхронных электродвигателей с короткозамкнутым ротором были установлены три класса энергоэффективности: IE1, IE2, IE3.

Рис. 1. Классы энергоэффективности
К примеру, эксплуатация мотора мощностью 55 кВт, имеющего высокий класс эффективности, дает экономию порядка 8000 кВт ежегодно только на работе этого мотора.
Защита и условия эксплуатации
Выбирая электромотор, также необходимо учитывать условия его будущей эксплуатации и возможные посторонние воздействия. Степень защиты двигателя определяется его классом исполнения и отражается в кодовом обозначении. Код состоит из букв IP и двух цифр. Большинство современных моторов выполняются в соответствии с классом защиты IP54 или 55.

Цифра в данном коде указывает на те условия, в которых может эксплуатироваться конкретный мотор:
- 1 – допускается размещение на открытом воздухе,
- 2 – допускается размещение под навесом,
- 3 – разрешена эксплуатация только в помещении, наличие вентиляции не является обязательным,
- 4 – допускается эксплуатация исключительно в закрытом помещении с кондиционированием.
Расшифровка климатических исполнений:
- У – умеренные условия,
- УХЛ – умеренно-холодные условия,
- ХЛ – холодные климатические условия,
- Т – тропические условия.
Следовательно, выбирая двигатель, важно четко представлять себе, в каких условиях и в каком климате он будет работать, понимать ключевые параметры рабочей среды (влажность, температурный диапазон), и соответствующим образом подбирать тип исполнения. Это позволит надежно защитить мотор от негативного воздействия атмосферных и климатических факторов.
Силы, оказывающие воздействие на вал
Наибольшую нагрузку при работе электромотора испытывают на себе подшипниковые узлы. Поэтому, выбирая двигатель, необходимо учитывать те нагрузки, которые будут воздействовать на вал. Неверный выбор приведет к тому, что подшипниковые узлы быстро выйдут из строя, что повлечет за собой поломку всего двигателя.
Моторы, работающие в условиях смены частоты тока
Популярность частотно-регулируемых приводов стабильно растет. Во многом это объясняется значительным количеством их преимуществ: высокая надежность, более простое управление, экономичность, существенные возможности для выбора скоростей мотора, мягкий запуск, уменьшение пусковых токов, длительная эксплуатация.
Эксплуатировать электромотор обычного типа в составе ЧРП нельзя, так как снижение скорости вращения одновременно понижает и качество охлаждения двигателя.
Если мотор работает в условиях изменяющейся частоты тока, часть его деталей подвержена эрозии. Кроме того, сильнее нагреваются и подшипники, а качества смазки ухудшаются опять-таки под влиянием токов. Чтобы избавиться от данной проблемы, следует разомкнуть контур, по которому идут подшипниковые токи. С этой целью на вал с неприводного конца устанавливается изолированный подшипник.
В том случае, если между концами вала возникает напряжение в 0,5 В, то создается риск аварии. Вследствие такого риска токоизолирующий подшипник может быть установлен только на двигатели, имеющие расстояние не менее 280 мм между осью вращения и опорной плоскостью.
Если в ходе эксплуатации мотора возникают отклонения, то следует оптимизировать мощность нагрузки. Ее снижение также позволяет поменять фазное напряжение за счет смены схемы соединения обмотки. А это, в свою очередь, сделает работу мотора максимально эффективной.


